Seasonal Variations in Physico-Chemical Properties and Heavy Metal Risk Assessment in Vegetable Farm Soils of Lagos State, Nigeria
| Received 15 Jul, 2025  | 
      
            Accepted 15 Sep, 2025  | 
          
            Published 31 Dec, 2025  | 
          
Background and Objective: Agrochemicals are essential for farming and are a significant source of environmental heavy metals, which could be influenced by the soil’s physico-chemical parameters. Hence, seasonal variations of the physico-chemical parameters and concentrations of some heavy metals in vegetable farm sites from the Far Eastern, Eastern, and Western agricultural zones of Lagos State were evaluated. Materials and Methods: Three blocks were selected from each zone where vegetables are planted. Six sampling locations and 3 sampling points were established for each block, coupled with a control (non-farm) site per zone. Soil samples were collected from these points during the wet and dry seasons at soil depth 0-30 cm and analyzed for physico-chemical parameters using standard methods, and an Atomic Absorption Spectrophotometer was used to quantify the heavy metals. The physico-chemical parameters and heavy metals data were analyzed for mean and subjected to Analysis of Variance (ANOVA) at a p<0.05 significant level using SPSS version 26. Results: The physico-chemical properties varied significantly across the three zones in both seasons. The highest pH of 6.05 was detected in the Western zone during the dry season, and the lowest of 4.61 in the Eastern zone during the wet season. The soil texture revealed that sand is the dominant component, with a mix of silt and clay. Heavy metal concentrations showed the highest presence of Fe (6.10 mg/kg) during the dry season in the Eastern zone, while Cr (0.0008 mg/kg) had the lowest in the Western zone during the wet season. Dry season heavy metal concentrations varied significantly (p<0.05) when compared with the wet season across the zones. The non-dietary risk assessment of heavy metals showed that the Hazard Quotient (HQ) was <1 for non-carcinogenic and ≤10−6 for carcinogenic risks in children and adults across the zones. Conclusion: However, continuous monitoring of agricultural sites is still required to maintain a healthy environment that will support biota.
| Copyright © 2025 Humphrey et al. This is an open-access article distributed under the Creative Commons Attribution License, which permits unrestricted use, distribution, and reproduction in any medium, provided the original work is properly cited. | 
INTRODUCTION
Agricultural soil is crucial in maintaining a sustainable ecosystem, food security, and human health. However, rising anthropogenic activities such as mining, waste disposal, industrialization, and the excessive use of agrochemicals have led to the accumulation of heavy metals in the soil1. Heavy metals are part the most dangerous contaminants non-degradability, persistence, and bioaccumulative ability, even at minimum concentrations in the environment, which is influenced by the physicochemical properties of the soil1-4. Heavy metals like iron, zinc, manganese, and selenium play vital roles in cellular and metabolic processes, but cadmium, lead, and mercury are among the top ten hazardous substances4,5.
Heavy metal contamination of agricultural soil is a worldwide problem. However, it is worse in most developing countries, due to inadequate awareness regarding their harmful effects, not just on crop quality but also on human health. Human health could be hampered by heavy metals via consuming food crops cultivated on heavy metal-contaminated soil or through non-dietary routes such as accidental soil ingestion, dust inhalation, and skin contact6,7. The occurrence and heavy metals health risk of water, vegetables, fish, and indoor dust have been studied8-12. However, there is a dearth of information on non-dietary exposure risk assessment of heavy metals in vegetable farmlands of Lagos State, despite increasing awareness. Therefore, this research assessed the seasonal variations of physicochemical parameters and the non-dietary heavy metal risk assessment in selected areas of Lagos State.
MATERIALS AND METHODS
Description of study area: The study was conducted in some selected areas in Lagos State, Nigeria, with Latitudes 6°23"N and 6°41"N, and Longitudes 3°09'E and 3°20'E. The sampling sites were selected based on the three zonal agricultural divisions (Far Eastern, Eastern, and Western zones) of Lagos State by the Lagos State Agricultural Development Agency13 (Fig. 1). Three blocks were selected from each zone where vegetables are planted. Six sampling locations and 3 sampling points were established for each block, coupled with three control (non-farm) sites per zone and geo-referenced using a global positioning system (GPS) (Fig. 1).
Sampling operation and schedule: Sampling was carried out at the designated sites between June,2021 and February, 2023. Samplings were carried out four times in the wet and four times in the dry seasons to study the effects of seasonal variations on the soil.
Soil sample collection and assessment: Soil samples from vegetable farms were collected using a clean soil auger at depths of 0-30 cm. The physicochemical parameters and heavy metals were assessed using standard methods and an Atomic Absorption Spectrophotometer (AAS), respectively. Soil pH and electrical conductivity were measured using a calibrated pH and conductivity meter (Hanna: HI 9813-6). Soil moisture content was determined according to the method of Sani et al.2. Organic carbon analysis was carried out by adopting the method of Walkley-Black14 while organic matter was calculated by multiplying %OC by 1.72. The Bouzoukis hydrometer method15 was used to analyze soil particle distribution, and the textural classification was interpreted using the textural triangle as adapted by Osuala et al.3.
Heavy metal concentrations were digested by the method of Isiuku and Enyoh16 and analyzed using a Buck Scientific atomic absorption spectrophotometer (model 210A).
Data analysis: The data physico-chemical parameters and heavy metals data were analyzed by One-way Analysis of Variance (ANOVA) at p<0.05 significance level with the Software Package for Social Sciences (version 26.0). All handlings of bar charts were executed using Microsoft Office Excel 2018.
Non-dietary risk assessment of heavy metals: Three potential pathways of exposure (ingestion, inhalation, and dermal exposure routes) to heavy metals in soil samples were evaluated across the three agricultural zones7,17.
 
      
  | 
    
RESULTS
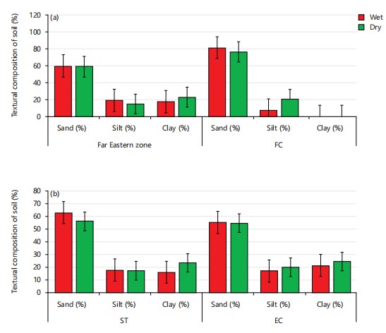
Physico-chemical parameters and textural composition: The lowest pH of 4.61 was found in the Eastern zone during the wet season, while 6.05 was the highest pH detected in the Western zone during the dry season (Fig. 2b-c). The minimum electrical conductivity of 0.12 mS/cm was detected in the Far Eastern zone during the wet season, while the maximum was 0.32 mS/cm in the Western zone during the dry season (Fig. 2a-c). The lowest and highest moisture content were detected in the Eastern zone with values of 13.49 and 15.23% in the wet and dry seasons, respectively (Fig. 2b-c). The lowest and highest % organic matter were detected in the wet season from the Far Eastern zone (6.60%) and dry season in the Western zone (8.22%), respectively. The physico-chemical parameters varied significantly (p<0.05) in both seasons across the three zones and the control sites. The dominant textural composition across the zones was sand. The lowest percentage of sand was 55.96 % in the Eastern zone, while 86.58% of sand was the highest in the Western zone during the wet season (Fig. 3b-c). The Far Eastern zone had a varied sand composition. The compositions of silt and clay were intermediate across the three zones (Fig. 3a-c). The soil compositions varied significantly across the three zones and the control sites in the wet and dry seasons.
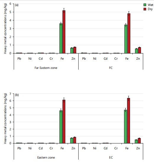
Heavy metal concentration across the zones: Heavy metal concentrations analysis of the soil samples, which varied significantly (p<0.05) across the three zones and the control sites, showed the presence of lead (Pb), nickel (Ni), cadmium (Cd), chromium (Cr), iron (Fe), and zinc (Zn) in both seasons. The highest heavy metal detected was Fe (6.10 mg/kg) in the Eastern zone during the dry season while 0.001 mg/kg of Cr was detected as the lowest concentration in the wet season in the Western zone during the wet season. The control site of the Far Eastern zone had the highest concentration of Fe (4.97 mg/kg) in the dry season, while 0.001 mg/kg of Cr was detected as the minimum value in the wet season (Fig. 4a-c).
![]()  
      
  | 
    
Non-dietary risk assessment of heavy metals across the sampled zones: In the Far Eastern zone, Cr had a maximum HQ of 1.27×10–4 in children by dermal exposure route, while the Ni had the lowest HQ of 5.52×10–11 in adults by inhalation exposure route. Hazard index (HI) of heavy metals in children and adults for all exposure routes was <1. The cancer risk ranged from 3.06×10–12 to 1.38×10–8 in children and adults with Ni having the highest cancer risk (1.38×10–8 ) in children by ingestion route, while the lowest was Cr with a cancer risk of 3.06×10–12 in children by inhalation route (Table 1). In the Eastern zone, Cr had the maximum HQ of 1.36×10–4 in children via the ingestion route, while Ni had the minimum HQ of 5.07×10–4 in adults via the inhalation route. Cancer risk was highest and lowest in children exposed to Cr via ingestion and inhalation routes, with values of 1.43×10–8 and 3.32×10–12, respectively.
![]()  
      
  | 
    
(Table 1). In the Western zone, Cr had the highest HQ of 1.05×10–4 in children via dermal exposure route, while Ni had the lowest HQ of 5.13×10–11 in adults via inhalation exposure route. Hazard quotient for other heavy metals had intermediate values. Ni had the highest cancer risk of 1.28×10–8 in children through the ingestion route, while the lowest was Cr with a cancer risk of 1.53×10–12 in children via the inhalation route (Table 1).
![]()  
      
  | 
    
| Table 1: | Estimation of non-carcinogenic and carcinogenic for heavy metals across the sampled zones | |||
| Non-carcinogenic | Carcinogenic | |||||||||||||
| Children | Adults | Children | Adults | |||||||||||
| Heavy metals  | 
      HQ ingestion | HQ inhalation | HQ dermal | HQ ingestion | HQ inhalation | HQ dermal | CR ingestion | CR inhalation | CR dermal | CR ingestion | CR inhalation | CR dermal | ||
| FC | ||||||||||||||
| Pb | 1.43×10-4 | 2.61×10-9 | 2.47×10-6 | 1.55×10-5 | 1.70×10-9 | 4.37×10-7 | 3.64×10-11 | NC | 4.71×10-9 | 1.71×10-11 | NC | 3.62×10-9 | ||
| Ni | 4.74×10-6 | 8.46×10-11 | 3.07×10-7 | 5.15×10-7 | 5.52×10-11 | 5.44×10-8 | 1.38×10-8 | 1.25×10-11 | 4.21×10-10 | 6.51×10-9 | 3.55×10-11 | 3.23×10-10 | ||
| Cd | 4.88×10-4 | 8.98×10-9 | 1.27×10-4 | 5.31×10-5 | 5.86×10-9 | 2.24×10-5 | 2.09×10-8 | 4.85×10-12 | NC | 9.86×10-9 | 1.37×10-11 | NC | ||
| Cr | 1.54×10-5 | 2.98×10-8 | 1.6×10-6 | 1.68×10-6 | 1.94×10-8 | 2.83×10-7 | 1.98×10-9 | 3.06×10-12 | NC | 9.35×10-10 | 8.66×10-12 | NC | ||
| Fe | 1.66×10-4 | NC | 4.29×10-7 | 1.80×10-5 | NC | 7.60×10-8 | NC | NC | NC | NC | NC | NC | ||
| Zn | 2.71×10-5 | 4.99×10-10 | 3.52×10-7 | 2.95×10-6 | 3.25×10-10 | 6.23×10-8 | NC | NC | NC | NC | NC | NC | ||
| HI | 8.44×10-4 | 4.19×10-8 | 1.32×10-4 | 9.18×10-5 | 2.74×10-8 | 2.33×10-5 | TCR | 3.68×10-8 | 2.05×10-11 | 5.14×10-9 | 1.73×10-8 | 5.78×10-11 | 3.94×10-9 | |
| EC | ||||||||||||||
| Pb | 9.48×10-5 | 1.73×10-9 | 1.64×10-6 | 1.03×10-5 | 1.13×10-9 | 2.90×10-7 | 2.42×10-11 | NC | 3.13×10-9 | 1.14×10-11 | NC | 2.40×10-9 | ||
| Ni | 4.35×10-6 | 7.77×10-11 | 2.82×10-7 | 4.73×10-7 | 5.07×10-11 | 5.00×10-8 | 1.27×10-8 | 1.15×10-11 | 3.87×10-10 | 5.98×10-9 | 3.26×10-11 | 2.97×10-10 | ||
| Cd | 3.34×10-4 | 6.14×10-9 | 8.66×10-5 | 3.63×10-5 | 4.01×10-9 | 1.53×10-5 | 1.43×10-8 | 3.32×10-12 | NC | 6.74×10-9 | 9.37×10-12 | NC | ||
| Cr | 1.36×10-4 | 2.63×10-7 | 1.41×10-5 | 1.48×10-5 | 1.72×10-7 | 2.50×10-6 | 1.75×10-8 | 2.71×10-11 | NC | 8.26×10-9 | 7.65×10-11 | NC | ||
| Fe | 1.98×10-4 | NC | 5.12×10-7 | 2.14×10-5 | NC | 9.07×10-8 | NC | NC | NC | NC | NC | NC | ||
| Zn | 2.83×10-5 | 5.21×10-10 | 3.67×10-7 | 3.08×10-6 | 3.40×10-10 | 6.51×10-8 | NC | NC | NC | NC | NC | NC | ||
| HI | 7.95×10-4 | 2.71×10-7 | 1.03×10-4 | 8.65×10-5 | 1.77×10-7 | 1.83×10-5 | TCR | 4.46×10-8 | 4.19×10-11 | 3.52×10-9 | 2.10×10-8 | 1.18×10-10 | 2.70×10-9 | |
| WC | ||||||||||||||
| Pb | 1.66×10-4 | 3.03×10-9 | 2.86×10-6 | 1.80×10-5 | 1.98×10-9 | 5.07×10-7 | 4.22×10-11 | NC | 5.47×10-9 | 1.99×10-11 | NC | 4.20×10-9 | ||
| Ni | 4.41×10-6 | 7.87×10-11 | 2.86×10-7 | 4.79×10-7 | 5.13×10-11 | 5.06×10-8 | 1.29×10-8 | 1.17×10-11 | 3.92×10-10 | 6.06×10-9 | 3.3×10-11 | 3.01×10-10 | ||
| Cd | 4.07×10-4 | 7.48×10-9 | 1.05×10-4 | 4.42×10-5 | 4.88×10-9 | 1.87×10-5 | 1.74×10-8 | 4.04×10-12 | NC | 8.21×10-9 | 1.14×10-11 | NC | ||
| Cr | 7.72×10-6 | 1.49×10-8 | 8×10-7 | 8.39×10-7 | 9.71×10-9 | 1.42×10-7 | 9.92×10-10 | 1.53×10-12 | NC | 4.68×10-10 | 4.33×10-12 | NC | ||
| Fe | NC | 2.62×10-9 | NC | 1.55×10-5 | NC | 6.54×10-8 | NC | NC | NC | NC | NC | NC | ||
| Zn | 2.4×10-5 | 2.21×10-9 | NC | 2.62×10-6 | 2.89×10-10 | 5.52×10-8 | NC | NC | NC | NC | NC | NC | ||
| HI | 6.09×10-4 | 3.03×10-8 | 1.09×10-4 | 8.17×10-5 | 1.69×10-8 | 1.95×10-5 | TCR | 3.13×10-8 | 1.72×10-11 | 5.879 | 1.48×10-8 | 4.87×10-11 | 4.50×10-9 | |
| HQ: Hazard quotient, HI: Hazard index, CR: Cancer risk, TCR: Total cancer risk, FC: Far eEastern zone, EC: Eastern zone, WC: Western zone and NC: No component | ||||||||||||||
The total cancer risks through the three exposure routes in children and adults across the agricultural zones were lower than the stipulated value of 10-6 (Table 1).
DISCUSSION
Physico-chemical parameters and heavy metal concentrations of the three agricultural zones in Lagos State were assessed. The pH across the three zones, which ranged from acidic to slightly acidic, was within the range obtained by Adewale et al.18. Soil pH has a direct impact on nutrient availability and is critical for proper nutrient management. Low pH increases the solubility of metallic components and thus becomes available19. The seasonal variation in these results could also be attributed to changes in the concentration of salt in the soil solution, which may be linked to frequent fertilizer application20 and rainfall patterns.
Organic matter in soil is determined by organic carbon. It increases soil buffering and exchange capacity while also increasing crop nutrient availability. It also creates chelates with metals, increasing their solubility and crop availability21. The organic matter detected in this study could probably be linked with the soil texture and the rainfall pattern22. The result obtained was similar to that of Olatunji et al.23.
The dominant texture of the soils across the sample zones was sandy loam, which has high sand content with adequate silt and clay to provide structure and fertility3. The high percentage of sand as indicated in this study corroborates the result of Shil et al.24. Heavy metal concentrations detected in the control sites could be ascribed to the transboundary property of these pollutants25 and soil composition4. High levels of heavy metals detected in soil corroborate with the findings of Ahmed et al.26. This probably could be attributed to the continuous application of agrochemicals over the years.
Heavy metals have a high likelihood of non-cancer health effects, with a hazard index (HI) of >1 indicating high risks. The total cancer risk (TCR) is ranked from very low to very high27. In the present research, the HI <1 and TCR ≤10–6 or ≤10–4 in all exposure routes suggested no potential non-carcinogenic and carcinogenic health risk of heavy metals exposure in children and adults of the study area. This is in tandem with the findings of Okoro et al.28 whose results indicated that heavy metals exposure in dust was under tolerable limits for both carcinogenic and non-carcinogenic hazards for both age groups in both children and adults.
CONCLUSION
Heavy metal analysis revealed considerable (p<0.05) seasonal and zonal variation in concentrations of Lead (Pb), Nickel (Ni), Cadmium (Cd), Chromium (Cr), Iron (Fe), and Zinc (Zn). Iron had maximum concentration in the Eastern zone during the dry season, while the concentration of Cr was minimal in the Western zone during the wet season. Although heavy metals were present, risk assessment findings showed non-carcinogenic and carcinogenic health risks in all the zones. These results showed that seasons and locations could be responsible for important differences in soil parameters and heavy metal concentrations. However, the concentrations of heavy metals in Lagos State’s vegetable farmlands are below the World Health Organization’s permissible limit. This study justified the need for seasonal soil management alongside health risk assessment during the planning of agricultural land use.
SIGNIFICANCE STATEMENT
This study discovered the seasonal variation in physicochemical parameters and heavy metal concentrations in vegetable farmlands of Lagos State, which can be beneficial for agricultural stakeholders, environmental managers, and policymakers in assessing soil quality trends and implementing timely interventions. By providing evidence-based insight into changes in soil properties over time, the findings contribute to understanding pollution dynamics and its implications for environmental quality and public health. This research highlights the importance of continuous monitoring to mitigate contamination risks and promote sustainable consumption and production practices. This study will help researchers to uncover the critical areas of soil contamination dynamics and risk assessment that many researchers were not able to explore. Thus, a new theory on seasonal pollution patterns may be arrived at.
REFERENCES
- Abdur Rashid, B.J. Schutte, A. Ulery, M.K. Deyholos, S. Sanogo, E.A. Lehnhoff and L. Beck, 2023. Heavy metal contamination in agricultural soil: Environmental pollutants affecting crop health. Agronomy, 13.
 - Sani, U., A. Uzairu and H. Abba, 2012. Physico-chemical parameters of soil in some selected dumpsites in Zaria and its environs. ChemSearch J., 3: 1-6.
 - Osuala, F.I., O.A. Abiodun, B.G. Oyeleke and O.F. Humphrey, 2020. Biodiversity of fauna and heavy metal assessment in selected areas of University of Lagos Akoka Campus, Lagos, Nigeria. Ife J. Sci., 22: 159-173.
 - Salem, M.A., D.K. Bedade, L. Al-Ethawi and S.M. Al-Waleed, 2020. Assessment of physiochemical properties and concentration of heavy metals in agricultural soils fertilized with chemical fertilizers. Heliyon, 6.
 - Wan, Y., J. Liu, Z. Zhuang, Q. Wang and H. Li, 2024. Heavy metals in agricultural soils: Sources, influencing factors, and remediation strategies. Toxics, 12.
 - Aendo, P., R. Netvichian, P. Thiendedsakul, S. Khaodhiar and P. Tulayakul, 2022. Carcinogenic risk of Pb, Cd, Ni, and Cr and critical ecological risk of Cd and Cu in soil and groundwater around the municipal solid waste open dump in Central Thailand. J. Environ. Public Health, 2022.
 - Alegbe, P.J., M. Appiah-Brempong and E. Awuah, 2025. Heavy metal contamination in vegetables and associated health risks. Sci. Afr., 27.
 - Eze, V.C., C.T. Ndife and M.O. Muogbo, 2021. Carcinogenic and non-carcinogenic health risk assessment of heavy metals in Njaba River, Imo State, Nigeria. Braz. J. Anal. Chem., 8: 57-70.
 - Atikpo, E., E.S. Okonofua, N.O. Uwadia and A. Michael, 2021. Health risks connected with ingestion of vegetables harvested from heavy metals contaminated farms in Western Nigeria. Heliyon, 7.
 - Yahaya, T.O., Z.Z. Illo, I.B. Abdulgafar, M.G. Salihu, C.B. Gomo, A. Abdulrahim and A. Abdulkadir, 2022. Concentrations and health risk parameters of heavy metals in water samples from Epe Lagoon in Lagos State, Nigeria. Dutse J. Pure Appl. Sci., 8: 149-157.
 - Ajala, O.A., M.R. Oke, T.F. Ajibade, F.O. Ajibade and B. Adelodun et al., 2022. Concentrations, bioaccumulation, and health risk assessments of heavy metals in fishes from Nigeria’s freshwater: A general overview. Environ. Sci. Pollut. Res., 29: 82660-82680.
 - Abdulraheem, M.O., J.A. Adeniran, H.A. Ameen, E.T. Odediran, M.N.O. Yusuf and K.A. Abdulraheem, 2022. Source identification and health risk assessments of heavy metals in indoor dusts of Ilorin, North Central Nigeria. J. Environ. Health Sci. Eng., 20: 315-330.
 - Humphrey, O.F., F.I. Osuala and M.N. Igwo-Ezikpe, 2024. Farmers’ perspectives on pesticide usage in vegetable production in selected agricultural zones in Lagos State, Nigeria. Agro-Science, 22: 1-8.
 - Walkley, A. and I.A. Black, 1934. An examination of the degtjareff method for determining soil organic matter, and a proposed modification of the chromic acid titration method. Soil Sci., 37: 29-38.
 - Bouyoucos, G.J., 1962. Hydrometer method improved for making particle size analyses of soils. Agron. J., 54: 464-465.
 - Isiuku, B.O. and C.E. Enyoh, 2020. Monitoring and modeling of heavy metal contents in vegetables collected from markets in Imo State, Nigeria. Environ. Anal. Health Toxicol., 35.
 - Osuala, F.I., O.F. Humphrey, M.N. Igwo-Ezikpe, A.G. Udoh and I. Adegbuyi et al., 2024. Occurrence and seasonal variation of organochlorine pesticides in selected vegetable farmlands in Lagos State, Nigeria. Environ. Anal. Health Toxicol., 39.
 - Adewale, P.S., S.C.O. Makinde, V.O. Kusemiju and O.O. Obembe, 2022. Determination of heavy metals concentration in soil and leafy vegetables in urban expressway and peri-urban road farms of Lagos State, Nigeria. J. Sustainability Environ. Manage., 1: 241-246.
 - Maphuhla, N.G., F.B. Lewu and O.O. Oyedeji, 2021. The effects of physicochemical parameters on analysed soil enzyme activity from Alice landfill site. Int. J. Environ. Res. Public Health, 18.
 - Zhao, Z., G. Liu, Q. Liu, C. Huang, H. Li and C. Wu, 2018. Distribution characteristics and seasonal variation of soil nutrients in the Mun River Basin, Thailand. Int. J. Environ. Res. Public Health, 15.
 - Emurotu, J.E. and P.C. Onianwa, 2017. Bioaccumulation of heavy metals in soil and selected food crops cultivated in Kogi State, North Central Nigeria. Environ. Syst. Res., 6.
 - Santos, F., R. Abney, M. Barnes, N. Bogie and T.A. Ghezzehei et al., 2019. The Role of the Physical Properties of Soil in Determining Biogeochemical Responses to Soil Warming. In: Ecosystem Consequences of Soil Warming: Microbes, Vegetation, Fauna and Soil Biogeochemistry, Mohan, J.E. (Ed.), Elsevier, Amsterdam, Netherlands, ISBN: 978-0-12-813493-1, pp: 209-244.
 - Olatunji, O.A., E.T. Komolafe and S.O. Oke, 2016. Seasonal variation in physicochemical properties of soil within the vicinity of an iron smelting factory-implication on standing vegetation. Notulae Sci. Biol., 8: 220-225.
 - Shil, N.C., M.A. Saleque, M.R. Islam and M. Jahiruddin, 2016. Soil fertility status of some of the intensive crop growing areas under major agro-ecological zones of Bangladesh. Bangladesh J. Agric. Res., 41: 735-757.
 - Tariq, S.R., M. Shafiq and G.A. Chotana, 2016. Distribution of heavy metals in the soils associated with the commonly used pesticides in cotton fields. Scientifica, 2016.
 - Ahmed, M., M. Matsumoto, A. Ozaki, N. van Thinh and K. Kurosawa, 2019. Heavy metal contamination of irrigation water, soil, and vegetables and the difference between dry and wet seasons near a multi-industry zone in Bangladesh. Water, 11.
 - Asgari, A., S. Sobhanardakani, M. Cheraghi, B. Lorestani and M.K. Sadr, 2025. Source apportionment, ecological and health risks of potentially toxic elements in street dusts across different land uses in city of Kermanshah, Iran. Sci. Rep., 15.
 - Okoro, H.K., M.M. Orosun, A.F. Agboola, E.C. Emenike and S. Nanduri et al., 2025. Health risk assessments of heavy metals in dust samples collected from classrooms in Ilorin, Nigeria and its impact on public health. Heliyon, 11.
 
How to Cite this paper?
				
APA-7 Style
                Humphrey, 
                O.F.,                                 Osuala, 
                F.I.,                                 Igwo-Ezikpe, 
                M.N.                                 (2025). Seasonal Variations in Physico-Chemical Properties and Heavy Metal Risk Assessment in Vegetable Farm Soils of Lagos State, Nigeria. Trends in Agricultural Sciences, 4(4), 313-322. https://doi.org/10.17311/tas.2025.313.322
				
ACS Style
                Humphrey, 
                O.F.;                                 Osuala, 
                F.I.;                                 Igwo-Ezikpe, 
                M.N.                                 Seasonal Variations in Physico-Chemical Properties and Heavy Metal Risk Assessment in Vegetable Farm Soils of Lagos State, Nigeria. Trends Agric. Sci 2025, 4, 313-322. https://doi.org/10.17311/tas.2025.313.322
				
AMA Style
                Humphrey 
                OF,                                 Osuala 
                FI,                                 Igwo-Ezikpe 
                MN.                  Seasonal Variations in Physico-Chemical Properties and Heavy Metal Risk Assessment in Vegetable Farm Soils of Lagos State, Nigeria. Trends in Agricultural Sciences. 2025; 4(4): 313-322. https://doi.org/10.17311/tas.2025.313.322
				
Chicago/Turabian Style
                                Humphrey,                Olamide, Florence,                 Fidelia Ijeoma Osuala, and                 Miriam Nwana Igwo-Ezikpe.
                2025. "Seasonal Variations in Physico-Chemical Properties and Heavy Metal Risk Assessment in Vegetable Farm Soils of Lagos State, Nigeria" Trends in Agricultural Sciences 4, no. 4: 313-322. https://doi.org/10.17311/tas.2025.313.322                
                

This work is licensed under a Creative Commons Attribution 4.0 International License.
					
      
      
      
      